Другие варианты подключения
В предыдущих схемах защитный диод был включен встречно-параллельно, однако его можно разместить и так:

Это вторая схема включения светодиодов на 220 вольт без драйвера. В этой схеме ток через резистор будет в 2 раза меньше, чем в первом варианте. А, следовательно, на нем будет выделяться в 4 раза меньше мощности. Это несомненный плюс.
Но есть и минус: к защитному диоду прикладывается полное (амплитудное) напряжение сети, поэтому любой диод здесь не прокатит. Придется подобрать что-нибудь с обратным напряжением 400 В и выше. Но в наши дни это вообще не проблема. Отлично подойдет, например, вездесущий диод на 1000 вольт — 1N4007 (КД258).
Не смотря на распространенное заблуждение, в отрицательные полупериоды сетевого напряжения, светодиод все-таки будет находиться в состоянии электрического пробоя. Но благодаря тому, что сопротивление обратносмещенного p-n-перехода защитного диода очень велико, ток пробоя будет недостаточен для вывода светодиода из строя.
Внимание! Все простейшие схемы подключения светодиодов в 220 вольт имеют непосредственную гальваническую связь с сетью, поэтому прикосновение к ЛЮБОЙ точке схемы — ЧРЕЗВЫЧАЙНО ОПАСНО!
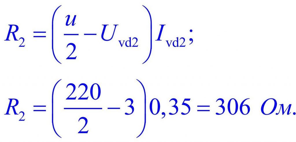
Для уменьшения величины тока прикосновения нужно располовинить резистор на две части, чтобы получилось как показано на картинках:

Благодаря такому решению, даже поменяв местами фазу и ноль, ток через человека на «землю» (при случайном прикосновении) никак не сможет превысить 220/12000=0.018А. А это уже не так опасно.
Идея №4 – Задействуем старую клавиатуру!
По аналогии с предыдущим способом можно сделать диодную гирлянду своими руками, используя ненужную клавиатуру. Как Вы знаете, некоторые клавиши подсвечиваются диодами на 5 Вольт (к примеру, Caps Loсk). Если у Вас есть неработающая клавиатура, разберите ее и аккуратно демонтируйте лампочки, из которых можно будет собрать простейшую электрогирлянду. Далее подберите подходящие резисторы и USB шнур, с помощью которого будет производиться подключение. Схема диодной гирлянды следующая:

Припаивать ножки диодов (анод и катод) нужно к черному и красному проводам электрического шнура, в соответствии с цветовой маркировкой. Когда все будет готово, заизолируйте оголенные контакты и переходите к испытаниям самодельной гирлянды. Питать такую гирлянду можно напряжением от 5 до 12 вольт, при этом подобрав нужный резистор к каждому из светодиодов. В нашем случае самоделка будет питаться от сети 220 Вольт через зарядное устройство, которое как раз и даст на выходе 5 В
Обратите внимание, что количество параллельно подключенных светодиодов с резисторами можно увеличить или уменьшить, как и в случае с гирляндой на лампах накаливания
На видео Вы также можете увидеть пример, как сделать светодиодную гирлянду в домашних условиях:
Как собрать мигающую электрогирлянду с музыкальным сопровождением?
Подбор необходимых материалов
Чтобы сделать гирлянду из светодиодов, важно предварительно собрать все необходимое. Комплектующие продаются в магазинах радиоэлектроники и стоят мало
Понадобится следующее:
Светодиоды разных цветов диаметром от 4 до 5 мм, допустимая сила тока порядка 20-30 мА. Значение снижения напряжения при этом должно быть от 2,1 до 3 В. Что касается количества, надо определить длину гирлянды и шаг расположения огоньков, чаще всего их ставят через 25-30 см. Разноцветные светодиоды стоят недорого.
Также необходимо подобрать резисторы. Если в системе будет использовано последовательное подключение, понадобится всего один элемент. При параллельном нужно использовать или по одному резистору на каждый диод, или разделить систему на небольшие группы
Важно подобрать вариант с подходящими показателями, обычно в магазине предлагают оптимальное решение, если объяснить, как будет собираться система. Схема последовательно- параллельного соединения трех последовательных групп светодиодов в цепочки из трех ЛЕД-элементов
В каждой цепочке слева стоит токоограничивающий резистор. Он «гасит» избыток суммы прямых напряжений диодов.
Блок питания также приобретается под конкретное изделие. Надо посчитать суммарную мощность всех используемых светодиодов и увеличить ее на 20-30%. Полученный показатель и будет ориентиром при выборе блока. Подключение светодиодной ленты к блоку питания.
Также обязательно приобрести безопасную вилку, удобно использовать разборный вариант, его легко подключить.
Основы подключения к 220 В
В отличие от драйвера, который питает светодиод постоянным током и сравнительно небольшим напряжением (единицы-десятки вольт), сеть выдает переменное синусоподобное напряжение с частотой 50 Гц и средним значением 220 В. Поскольку светодиод пропускает ток только в одну сторону, то светиться он будет только на определенных полуволнах:
То есть led при таком питании светится не постоянно, а мигает с частотой 50 Гц. Но из-за инерционности человеческого зрения это не так заметно.
В то же время напряжение обратной полярности, хотя и не заставляет led светиться, все же прикладывается к нему и может вывести из строя, если не предпринять никаких защитных мер.
Новогодняя гирлянда из натуральных материалов
Если раньше к натуральным материалам для поделок относили шишки и жёлуди, то сегодня в ход пускают и орехи, коричные звёздочки, палочки, рябинку, сухофрукты. Главный вопрос – как всё это соединить на одной нитке.
Используем шишки
Неважно, какое хвойное дерево растёт в лесу, откуда вы будете доставать шишки: лучше всего сделать сборную солянку из кедровых, еловых, сосновых и лиственничных шишек

Шишки легко покрасить распылителем, гуашью, акрилом, смазать клеем и обсыпать блестками

На ножку шишки наносят клей (столярный или для потолочных плиток) и приклеивают к шпагату

Есть и другой вариант присоединения шишек на верёвку: плоскогубцами несложно вкрутить в шишечку небольшой крючок. Сквозь этот крючок остаётся только пропустить верёвку, и можно сразу вешать украшение

Разношёрстные шишки смотрятся атмосферно
Другой натуральный материал
Что ещё использовать в качестве рождественского и новогоднего украшения? Отправляемся в набег не только в лес, но и на холодильник и кухонные полки!

Из дерева вырезают звёздочки, с помощью сверла или просто клея присоединяют изделия к верёвке

Сушёные фрукты получают в духовке. Они долго остаются в таком состоянии и легко крепятся на нить
Как подключить светодиод к 220 В с помощью резистора
Для большей наглядности изобразим расчетную схему.

Такая схема очень распространена в работы электротехнических устройств, например, подсветки выключателя или кнопки электрического чайника. Главным достоинством данной схемы является ее простота, а отсюда и надежность.
С целью сравнения полученных результатов возьмем два светодиода. Один индикаторного типа, а второй более мощный.
Определим сопротивление R1, необходимое для первого светодиода:

Сетевое напряжение делим на два по уже указанной выше причине.
Мощность рассеивания резистор равна:

Принимаем 2 ватта, поскольку такой номинал является ближайшим в сторону увеличения из стандартного ряда мощностей.
Теперь определим сопротивление резистора, соединенного последовательно со вторым светодиодом:

Мощность рассеивания равна:

Резисторы с такой мощностью рассеивания имеют значительные размеры и немалую стоимость, поэтому не рационально их применение в цепи с мощными светодиодами. Более эффективным будет замена его конденсатором.
Для защиты полупроводникового прибора встречно-параллельно подсоединяют диод.

Его назначение состоит в следующем. В проводящий полупериод на светодиоде падает напряжения порядка 2…3 В. В не проводящий полупериод он заперт и к его выводам прикладывается обратное полное действующее напряжение 220 В, амплитуда которого достигает 310 В. Поэтому существует вероятность пробоя полупроводникового прибора. Однако если создать путь для протекания тока в этот непроводящий полупериод времени, то снизится амплитуда опасного обратного напряжения. Именно это достигается за счет применения шунтирующего диода.
Кстати, вместо него можно применять еще один светодиод, желательно со схожими параметрами.

Визуально нам будет казаться, что оба они светят все время, но на самом деле они мерцают с частотой 50 Гц. Причем, когда первый светит, второй гаснет и наоборот, т.е. работают в противофазе.
В этом случае необходимо учесть, что через резистор ток протекает в оба полупериода времени, поэтому его сопротивление нужно снизить вдвое. Далее в последующих расчетах мы будем пользоваться схемой без шунтирующего диода.
Подбор необходимых материалов и элементной базы
Выбор светодиодов
Гирлянда занавес
Для самодельной гирлянды потребуются разноцветные светодиоды диаметром от 4-5 до 10 мм с допустимой силой тока 20-30мА и значением снижения напряжения от 2,1 до 3 В.

 Светодиоды
Количество светодиодов подбирается с учетом того, что оптимальное расстояние между ними должно быть 20-25 см.
Выбор резисторов
Количество резисторов и значение их сопротивления рассчитываются, исходя из схемы подключения светодиодов:
- При последовательном подключении резистор устанавливается один. Его сопротивление рассчитывается по формуле:
 
R=(Uип-(К×Uпад))/I,
где:
- Uип – напряжение источника питания, В;
 - Uпад – падение напряжения на светодиоде, В;
 - К – количество светодиодов, шт.;
 - I – сила тока одного светодиода, А.
 
Т.е. при сборке гирлянды из 10 светодиодов с рабочим током 20 мА (0,02 А) и падением напряжения 2,1 В, запитываемой от 24-х вольтового блока питания, сопротивление единственного резистора, устанавливаемого перед первым светодиодом, будет равно:
R = (24-(10×2,1)/0,02= 3/0,02=150 Ом.
- При подключении светодиодов к каждому аноду полупроводниковой радиодетали припаивается отдельный токоограничивающий резистор, сопротивление которого рассчитывается по формуле:
 
R = (Uип- Uпад)/I.
Т.е. при сборке аналогичного, как и в прошлом пункте, елочного украшения, в котором светодиоды будут подключены параллельно, к каждому из них припаивают резистор с сопротивлением 1 кОм.
Выбор блока питания
Блок питания для елочного самодельного украшения из светодиодов выбирают с учетом их количества и характеристик. Для того чтобы все огоньки украшения горели одинаково ярко, их суммарное напряжение и мощность должны быть меньше, чем аналогичные показатели у применяемого блока питания.

 Блок питания
Данный показатель рассчитывается по следующей формуле:
P=U×I,
где:
- P – мощность, Вт;
 - U – напряжение, В;
 - I – сила тока, А.
 
Таким образом, для 10 светодиодов с падением напряжения 2,1 В и рабочим током 20 мА необходим как минимум 24-х вольтовый блок питания мощностью 0,42 Вт.
Вилка
При подключении гирлянды с большим количеством светодиодов напрямую к 220-ти вольтной сети используют стандартные разборные евровилки, подходящие по цвету к используемому проводу.
Подбор необходимых материалов и элементной базы
Для самостоятельного изготовления светодиодной гирлянды вам понадобятся следующие инструменты, материалы и компоненты:
- паяльник с канифолью и припоем;
 - изолента;
 - термоусадочные кембрики, повышающие изоляционные свойства;
 - светодиоды;
 - резисторы.
 
Светодиоды можно получить, разобрав неработающие компьютерные аксессуары – клавиатуры и мыши. От качества выбранных комплектующих и соединений, надежности схемы эксплуатации зависит правильная функциональность самодельной гирлянды.
При последовательном подключении диодов они будут работать, но при этом существенно возрастет напряжение, что повысит количество выделяемого тепла, и в конечном счете приведет устройство к поломке. Это главная причина применения резисторов, снижающих напряжение и изменяющих прочие входные характеристики тока, за счет чего происходит смена цвета при свечении источников.

Выбор светодиодов
Главными элементами гирлянды являются светодиоды. Основными технико-эксплуатационными параметрами считаются рабочее напряжение и ток, протекающий в прямом направлении. Обе характеристики нужны будут для расчета электрической цепи и потребления электроэнергии.
В среднем, светодиод работает при силе тока 20 мА. Для уменьшения количества потребляемого электричества используются резисторы, причем значение сопротивления данного элемента зависит от параметров конкретного led-диода. В сети можно найти немало калькуляторов, позволяющих выполнить простой и быстрый расчет резистора под выбранный светодиод.
Напряжение питания элемента указывает на тот момент, когда на p-n переходе падает напряжение, что происходит за счет внутреннего сопротивления изделия. Другими словами, если речь идет об источнике питания 12 В и светодиодах на 3 В, то последовательно можно подключать не более четырех данных устройств, поскольку каждое из них снижает питающее напряжение (12 В) на величину собственного (3 В). Если добавить в схему пятый элемент, то он практически не будет светиться.
Напряжение зависит от конкретного производителя и цветов светодиода. К примеру, диоды с синими, белыми и зелеными кристаллами имеют рабочее напряжение 3 В, желтыми и красными – 1,5-2,5 В. Потребляемая мощность диодов рассчитывается по одному из законов Ома: P = U * I, где P – мощность, U и I – напряжение и сила тока соответственно.

Если рассматривать значения, приведенные выше, то при их подстановке в формулу мы получим следующее значение: 3 (В) * 0,02 (А) = 0,06 Вт. При последовательном включении 4 светодиодов, данная характеристика увеличится до 0,06 * 4 = 0,24 Вт. При последовательном подключении ограничивающего резистора напряжение возрастет еще на 0,06 Вт, поэтому суммарная потребляемая мощность составит 0,30 Вт. Если вы используете несколько групп по 3 светодиода, которые подключаются параллельно, то данная величина должна быть умножена на их число.
Сила света красного led-диода на 1,8 В составляет 0,2-2,0 кд, белого – 10-20 кд. Тем не менее, данные характеристики не вносят никаких корректировок в схему расчета и выбираются исключительно исходя из целей дальнейшей эксплуатации устройства.
Выбор резисторов
При выборе резисторов нужно ориентироваться на мощность и сопротивление. Второй параметр зависит от числа последовательно подключаемых к цепи светодиодов и их рабочего напряжения, мощность – от величины тока. Практически всегда будет достаточно использовать резистор мощностью 0,125 Вт.
При эксплуатации светодиодов напряжением 3 В принято использовать резисторы со следующим сопротивлением в зависимости от количества элементов:
- 1 светодиод – 470 Ом;
 - 2 – 300 Ом;
 - 3 – 150 Ом;
 - 4 – 1 Ом.
 

Если же планируется эксплуатация диодов напряжением 2,1 В, то зависимость будет следующей:
- 1 светодиод – 510 Ом;
 - 2 – 390 Ом;
 - 3 – 300 Ом;
 - 4 – 180 Ом;
 - 5 – 75 Ом.
 
Выбор блока питания
В случае со светодиодной гирляндой должен использоваться блок питания на 12 или 24 В с запасом выходной мощности (приблизительно 25% сверху суммарной мощности потребляемой цепи). Выбор конкретного блока зависит от числа светодиодов – для схемы с 7 и более элементами желательно использовать изделие на 24 В.
Блок на 24 Вт позволяет осуществить коммутацию 11 последовательно соединенных диодов на 2,1 В или 6 на 3 Вт. Практически всегда будет достаточно воспользоваться небольшим блоком питания напряжением 24 В и силой тока 0,5 А с выходной мощностью 12 В.

Безопасность при подключении
Не следует устанавливать в цепь диодов полярные конденсаторы
При работе со схемой включения диодов в сеть 220 Вольт основную опасность представляет соединенный последовательно с ними ограничивающий конденсатор. Под воздействием сетевого напряжения он заряжается до опасного для человека потенциала. Чтобы избежать неприятностей в этой ситуации рекомендуется:
- предусмотреть в схеме специальную разрядную резисторную цепочку, управляемую отдельной кнопкой;
 - если сделать это невозможно, перед началом настойки после отключения от сети следует разряжать конденсатор с помощью жала отвертки;
 - не устанавливать в цепь питания диодов полярные конденсаторы, обратный ток которых достигает значений, способных «выжечь» схему.
 
//www.youtube.com/embed/7JFY9Qte6rk
30.10.2020
Марина Ткачева / автор статьи
Образование высшее, журналист, работала до недавнего времени редактором отдела в газете.
Написано статей
4
Создание подсветки салона с 2-мя режимами яркости
Подсветку салона автомобиля можно организовать разными методами: будь то обычная светодиодная лента, на скорую руку, прилепленная клейкой лентой к обшивке потолка салона или же обычная сборка с димером, аккуратно спрятанная в плафон интерьера. В данной статье позвольте привести вам пример организации нескольких вариантов подсветки.
Все схемы проверены и работают безотказно – естественно, если сборка осуществлена грамотно. Ниже вы можете просмотреть видео, на котором ярко продемонстрирован принцип работы схем.
Давайте приступим к работе.
1. Стабилизатор напряжения на транзисторе LM-317
Первая схема была реализована на базе транзистора LM-317, который играет роль стабилизатора напряжения в схеме.
Обратимся к самой схеме.

Мощность данной микросхемы составляет всего 1.5 единиц, а при условии установки небольшого радиатора, зная, что ток через эту сборку из 3-х диодов – 20 мА (0.02 А) кол-во цепочек можно легко рассчитать. Для сборки из 10-ти – 20ти подобных «подсхем» радиатор не нужен.
При правильной сборке – устройство выглядит довольно компактным.
Важно!!! Сборка элементов, пайка и коммутация устройства должно осуществляться, исключительно имея хотя бы базовые навыки и умения в электротехнике. В противном случае неправильная сборка может: минимум просто не включиться, максимум – перегорит предохранитель в автомобиле
Входы и выходы сборки можете найти на схеме, приведенной выше.
2. Плавное включение-выключение подсветки
Вторая схема довольно-таки распространена среди «дежурных самоделок» наших умельцев, она не слишком сложна в исполнении и вполне работоспособна.
Обратимся к схеме.

В сборке использован полевик (полевой транзистор), который и управляет каналом диодов. Отсюда следует, что номинальные показатели транзистора должны быть выше, чем у предыдущей сборки. По желанию в сборке можно использовать любое кол-во светодиодов – это
никаким образом не влияет на интервал розжига и затухания. Основным требованием является, то, что мимо ключа зажигания должно проходить +12 вольт. Схем применима как для обычных ламп накаливания, так и к светодиодным лентам.
Сборка такая же компактная, как и в предыдущем примере.

Подсветка с регулируемой яркостью.
Немного отступления и теории. Данная сборка особо подойдет людям, которые особо не приветствуют излишеств в подсветках, но ценят в вещах практичность. Схема, приведенная ниже, имеет два режима яркости – «ярко и очень ярко», то есть режим «День» и режим «Ночь».
В сборке применялся переменный резистор 5К:
– обозначение на схеме. Данный вид резисторов позволяет регулировать свое сопротивление, тем самым меняя яркость лампочек в подсветке. Регулирование можно осуществить один раз, но и можно данный элемент вывести за пределы сборки и регулировать по ситуации.
Режим «НОЧЬ»

Режим «ДЕНЬ»
НЕ советуется совмещать светодиодную ленту и стабилизаторы L78xx – серий, где ХХ – номинальные значения –в автомашине. Например, сериям 7812 остро будет не хватать напряжения от бортовой сети, что прямо пропорционально влияет на яркость светодиодов. А для 7809 – бортового напряжения будет слишком даже достаточно, но для таких стабилизаторов необходимо будет строить иные диодные цепочки.
ВНИМАНИЕ!!! Схемы с диодами постоянные для дома кардинально отличаются от схем, собранных для автомобиля. Ведь в домашних условиях, для подобных конструкций, можно подобрать блоки питания подходящих диапазонов, а в автомашине – иметь дело с уже существующим напряжением
Автор; Вадим Корнелюк Ровно, Украина
← Предыдущая запись
Следующая запись →
Почему подходит для улицы
Прочность шнуру придается тем, что промежутки между диодами заполнены ПВХ. Поэтому его без боязни можно крепить на различных наружных конструкциях. Сделать это можно при помощи клипсы или клея.
- 
Светодиодные LED-лампы — какие лучше? Обзор самых популярных и надежных моделей, с фото и видео!
 - 
Как выбрать цветовую температуру — смотрите здесь! Таблица, инструкция, обзор яркой и оптимальной цветовой температуры для комнаты
 - Подключение светильника своими руками — пошаговая инструкция с фото и видео. Правила монтажа + схема подключения
 

Так как изделие легкое, оно не требует дополнительных крепежей. Высокая гибкость позволяет создавать различные фигуры, надписи и т.д. Дюралайты с мигающими режимами смотрятся завораживающе.

Необычный вариант
Вместо питания от сети подчас бывает нужно сделать гирлянду на батарейках. В таком случае даже внезапное отключение электричества не станет неприятным сюрпризом. Обычно используют элементы питания на основе лития. Рекомендуемое напряжение — 3 В (больше нет необходимости). Крепления диодов крепятся к батарейкам с использованием эпоксидного клея.
Подобные конструкции могут быть применены для веранды или вывешены на арке, а также на ином декоративном элементе в саду. Обычно анод крепят к положительному полюсу, а катод, соответственно, к отрицательной части батарейки. После схватывания клея требуется укрепить соединение, обматывая его скотчем. Рекомендуется использовать от 10 до 20 лампочек в такой гирлянде. Если их будет меньше, эстетического эффекта не будет. Если больше — сложность работы неоправданно вырастет.
Напоследок стоит сказать о базовых правилах безопасности при использовании самодельных гирлянд:
О том, как быстро сделать ретро-гирлянду, смотрите в следующем видео.
Источник
Изготовление гирлянды из светодиодов
При последовательно подключенных светодиодах можно создать мерцающую гирлянду. На ее создание уйдет минимум времени, а с задачей сможет справиться практически каждый человек с начальными знаниями электрики. Самое главное в данном случае: четко следовать инструкции.
Для самостоятельной сборки светодиодной гирлянды своими руками вам нужно выполнить действия в следующем порядке:
- Определитесь с желаемым расстоянием между соседними источниками (диодами).
 - Раскрутив провод, маркером любого цвета нанесите соответствующие отметки на те места, где предположительно будут установлены светодиоды. В идеале расстояние между ними должно составлять 200-250 мм.
 - В тех точках, где были оставлены пометки, удалите с провода изоляцию, создав «голые островки» длиной по 20-30 мм. Действовать нужно аккуратно, чтобы не повредить сам кабель. Это упростит процесс будущего крепления диодов.
 - На такие участки нужно нанести канифоль с припоем.
 
- К образовавшимся наплывам закрепите светодиоды, соединяя паяльником их ножки с проводом. Учтите, что данный вариант крепления будет менее надежным, поэтому придется воспользоваться усиливающими фиксаторами, которые также закроют оголенные части гирлянды.
 - Узкий скотч нарежьте на разные кусочки длиной 30-40 мм, затем примените в качестве изоляции для диодов. В результате этих действий каждый светодиод должен быть расположен в «кармашке», крепко удерживающем его на кабеле. Обмотать нужно все источники света на проводе.
 - Затем нужно обеспечить герметизацию верхней части «кармашка». Для этого сгодится силиконовый герметик, который не просто повышает прочность конструкции, но и совершенствует свечение.
 - Остается подключить к схеме резистор и блок питания, а затем протестировать работу самодельного оборудования.
 
Подготовка к созданию светодиодной гирлянды на батарейках
Не менее красиво смотрится светодиодная гирлянда, подключаемая к батарейкам. Кроме того, такое изделие будет максимально безопасным для детей. Данная разновидность иллюминации используется в качестве наружного источника света. При перемещении в воздухе будет оставаться яркий разноцветный шлейф, который дизайнеры часто используют для создания в пространстве разнообразных узоров. Изделие должно быть защищено от ветра, осадков и низкой температуры.
Для производства гирлянды на батарейках вам будут нужны:
- светодиоды диаметром 10 мм разных цветов с рассеивающим эффектом;
 - магниты диаметром 1,3 и толщиной не более 30 мм;
 - изолента или узкий скотч;
 - литиевая батарейка (например, CR2032 3V);
 - эпоксидный клей.
 

Процесс изготовления гирлянды на литиевых батарейках
Для создания яркой мерцающей гирлянды потребуется выполнить качественную пайку. Спешить в процессе выполнения работы не стоит. Запаситесь терпением, будьте аккуратны и внимательны, следуйте шагам:
- Выполните тестирование светодиодов, чтобы увидеть уровень их свечения. По очереди подключите компоненты к литиевой батарейке (одну, более длинную ножку, соедините с «плюсом», другую короткую – с «минусом»).
 - Зафиксируйте положение диодов, затем каждый элемент вместе с батарейкой оберните скотчем или изолентой в 2 слоя.
 - С положительным контактом батарейки совместите магнит, зафиксировав его.
 - Каждая часть конструкции должна быть установлена на тонкий провод. Проверьте работоспособность изделия!
 

Использование резисторов парами
В данном случае вы сможете снизить себестоимость изделия, сделав его более экономичным, но помните: гораздо лучше с точки зрения электрической безопасности и долговечности оборудования соединять каждый светодиод с собственным резистором. К тому же, последние компоненты дешевые.





























